̊积分球式色差仪测量原理
积分球式色差仪作为颜色测量领域的精密仪器,其独特的光学结构和工作原理使其能够准确评估各种表面特性的材料颜色,为科学色彩管理提供了可靠的技术支持。

光学系统结构与工作原理
积分球式色差仪的光学系统由积分球、光源、探测器和分光系统等关键部件组成。积分球通常由金属或塑料制成内腔,内壁涂覆硫酸钡或聚四氟乙烯等高反射率漫反射材料,反射率可达95%以上。光源系统采用脉冲氙灯或LED阵列,提供稳定的全光谱照明。探测器使用硅光电二极管阵列或CCD传感器,配合光栅或干涉仪分光系统,实现光谱信号的精确采集。
工作原理遵循辐射度量学和色度学基本定律。光源发出的光在积分球内经过多次漫反射后,形成均匀的漫射照明照射样品表面。样品反射的光信号部分进入探测器,经分光系统色散后,获得样品在380-780nm波长范围内的光谱反射率数据。仪器内置的微处理器根据CIE 15:2004标准,使用标准光源(如D65、C、A等)和标准观察者(2°或10°)数据,计算得到三刺激值X、Y、Z,进而转换为Lab、LC*h等颜色参数。
关键技术特性与优势

积分球式色差仪的显著优势在于其能够有效克服样品表面特性对测量结果的影响。对于高光泽表面,使用SCI模式可以测量材料的本征颜色,排除表面光泽的干扰;对于哑光表面,使用SCE模式可以评估视觉外观颜色。这种灵活性使其在涂料、塑料、纺织、印刷等行业得到广泛应用。
测量流程与数据处理
测量流程始于仪器校准,包括暗电流校准、白板校准和波长校准。暗电流校准消除探测器暗电流影响,白板校准建立反射率基准,波长校准确保光谱准确性。校准完成后,仪器进入待测状态。
样品测量时,仪器按预设程序采集光谱数据。首先,光源发出测量光,在积分球内形成均匀照明;然后,样品反射光进入分光系统,经光栅色散后投射到探测器阵列;最后,探测器将光信号转换为电信号,经AD转换后送入处理器。
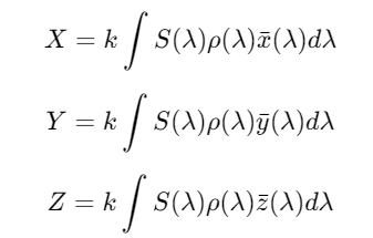
数据处理采用严格的色度学算法。首先计算样品的光谱反射率ρ(λ),然后与标准光源的相对光谱功率分布S(λ)和标准观察者颜色匹配函数相乘积分,得到三刺激值:

其中k为归一化系数,确保完全漫反射体Y=100。最后根据CIELAB公式计算颜色参数。
特殊功能与技术进展
现代积分球式色差仪集成了多项特殊功能。紫外校准功能可控制紫外含量,准确测量荧光材料;自动夹具确保样品定位重复性;温度监控补偿环境温度影响。这些功能显著提升了仪器的适用性和准确性。
技术进展主要体现在光学设计创新和智能化发展。新型积分球采用非对称结构优化光路效率,LED光源替代传统氙灯提高稳定性,阵列探测器取代机械扫描提升测量速度。智能化方面,仪器具备自动诊断、远程校准和数据管理功能,大大提高了使用便利性。
同类文章排行
- 新品推荐|三恩时 PS809:大口径 + 双模式,复杂样品测色更专业
- 交通路标行业选用色差仪?交通路标色差仪推荐
- 木纹漆色差测量:三恩时CR8分光色差仪实测
- 光泽度仪怎么用?三恩时NHG268三角度光泽度仪使用方法和教程
- 新品推荐|三恩时TS-25C:增强版实验室级分光测色仪,提供全行业色彩解决方案
- 精微之处见真章:三恩时KS-520分光色差仪测量微小零件全攻略
- 色差仪SCE与SCI是什么意思?有什么区别?
- 白度计分级标准解析:标准级、一级、二级仪器的精确划分
- YC/T 291-2009标准解读与灯具推荐:打造合规的烟叶分级光环境
- 交通路标颜色测量全攻略:YS4560色差仪使用教程
最新资讯文章
- 汽车油漆色差精准管控:多角度分光测色仪,让色彩一致看得见
- 纱线色差怎么测?三恩时YS3010色差仪:让精准测量变得简单
- 新品推荐|三恩时 PS809:大口径 + 双模式,复杂样品测色更专业
- 硬核出圈!三恩时方案点亮 CHINAPLAS 2026
- 纺织行业色差ΔE值标准全解析:从国标要求到精准测量
- 交通路标行业选用色差仪?交通路标色差仪推荐
- 木纹漆色差测量:三恩时CR8分光色差仪实测
- 聚焦染料展!三恩时全系列色彩管控仪器,破解行业核心痛点
- 织物变色牢度怎么评?国标方法+三恩时测色仪,精准量化不踩坑
- 烤瓷铝板光泽度怎么控?JC/T 2439-2018 标准 + 三恩时方案全解析
- 光泽度仪怎么用?三恩时NHG268三角度光泽度仪使用方法和教程
- 光泽度单位是GU还是GS?一文分清,避免标注出错
- 波长间隔5nm的10°观察者色匹配函数
- 新品推荐|三恩时TS-25C:增强版实验室级分光测色仪,提供全行业色彩解决方案


