色差仪Lab和L*a*b*的区别——从含义到应用
你是否曾被色差仪上Lab和L*a*b*搞得一头雾水?别急!一起来了解一下吧!

色彩空间
Lab
属于HunterLab颜色空间,也称为亨氏Lab,是理查德・亨特在20世纪40年代提出的新三刺激色彩模型。基于颜色对立理论的三维直角坐标系,不带星号。

L*a*b*
属于CIELab颜色空间,由国际照明委员会(CIE)于1976年提出的均匀色空间,也是HunterLab的升级版本,用于描述人眼可见的所有颜色,带有星号以区分参数。
数值含义
Lab
L:表示亮度/暗度,白色为100,黑色为0,用于表示深色和浅色调之间的差异。
a:代表红绿轴,正a为红色,负a为绿色;
b:代表黄蓝轴,正b为黄色,负b为蓝色。
L*a*b*
L*a*b*数值与Lab数值的含义基本相同,只对HunterLab的原始数学方法做了一些小改动。
计算公式
Lab
色差公式为:ΔEH
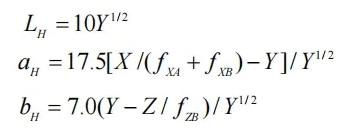
计算方法如下:

式中:
LH,aH,bH:亨特色空间的明度和色彩指数
X,Y,Z:样品的三刺激值
fXA,fXB,fZB:常数,随选用的标准色度观察者和标准照明体不同而改变。

L*a*b*
色差公式为:ΔE*ab,常写作ΔE*
计算方法如下:

式中:
△L*:代表明度差
△a*:代表红绿色品差
△b*:代表黄蓝色品差
应用领域
Lab
虽然没有通过正式的国际标准认证,但在描绘绝对色坐标和颜色间差异方面得到了广泛认可。
L*a*b*
国际通用标准,被全球色差仪厂家采用,并沿用至今。
同类文章排行
- 纺织行业色差ΔE值标准全解析:从国标要求到精准测量
- 光泽度单位是GU还是GS?一文分清,避免标注出错
- 亮度相关概念解析:亮度、亮度因数、亮度对比度的概念和计算公式
- 黑度My、Mc、dM是什么意思?
- 啤酒色度的分析方法——分光光度计法、色度仪法、比色计法
- 什么是印刷色谱?印刷色谱的构成和作用
- 牦牛肉肌红蛋白的测定方法——分光光度计
- 颜色力度(K/S值)的原理和测量方法
- GB/T 6836-2018:缝纫线色差与色牢度标准解析
- 印刷行业印版的阶调值
最新资讯文章
- 塑料光泽度怎么测?塑料光泽越高越好吗?
- 汽车油漆色差精准管控:多角度分光测色仪,让色彩一致看得见
- 纱线色差怎么测?三恩时YS3010色差仪:让精准测量变得简单
- 新品推荐|三恩时 PS809:大口径 + 双模式,复杂样品测色更专业
- 硬核出圈!三恩时方案点亮 CHINAPLAS 2026
- 纺织行业色差ΔE值标准全解析:从国标要求到精准测量
- 交通路标行业选用色差仪?交通路标色差仪推荐
- 木纹漆色差测量:三恩时CR8分光色差仪实测
- 聚焦染料展!三恩时全系列色彩管控仪器,破解行业核心痛点
- 织物变色牢度怎么评?国标方法+三恩时测色仪,精准量化不踩坑
- 烤瓷铝板光泽度怎么控?JC/T 2439-2018 标准 + 三恩时方案全解析
- 光泽度仪怎么用?三恩时NHG268三角度光泽度仪使用方法和教程
- 光泽度单位是GU还是GS?一文分清,避免标注出错
- 波长间隔5nm的10°观察者色匹配函数


