三恩时TS7600:以精准色度测量推动晕动病客观评估进入新阶段
在运动环境日益多样化的今天,晕动病已成为影响部分人群日常生活与职业表现的重要问题。长期以来,对该症状的评估主要依赖主观量表,存在显著个体差异与一致性不足的局限。
第四军事医科大学与延安大学联合研究团队在国际权威期刊《Frontiers in Neurology》上发表了一项突破性研究,首次将三恩时TS7600分光测色仪应用于晕动病严重程度的客观量化评估中,为该领域带来全新的技术路径。

客观量化晕动病关键体征:从“面色苍白”到数据指标
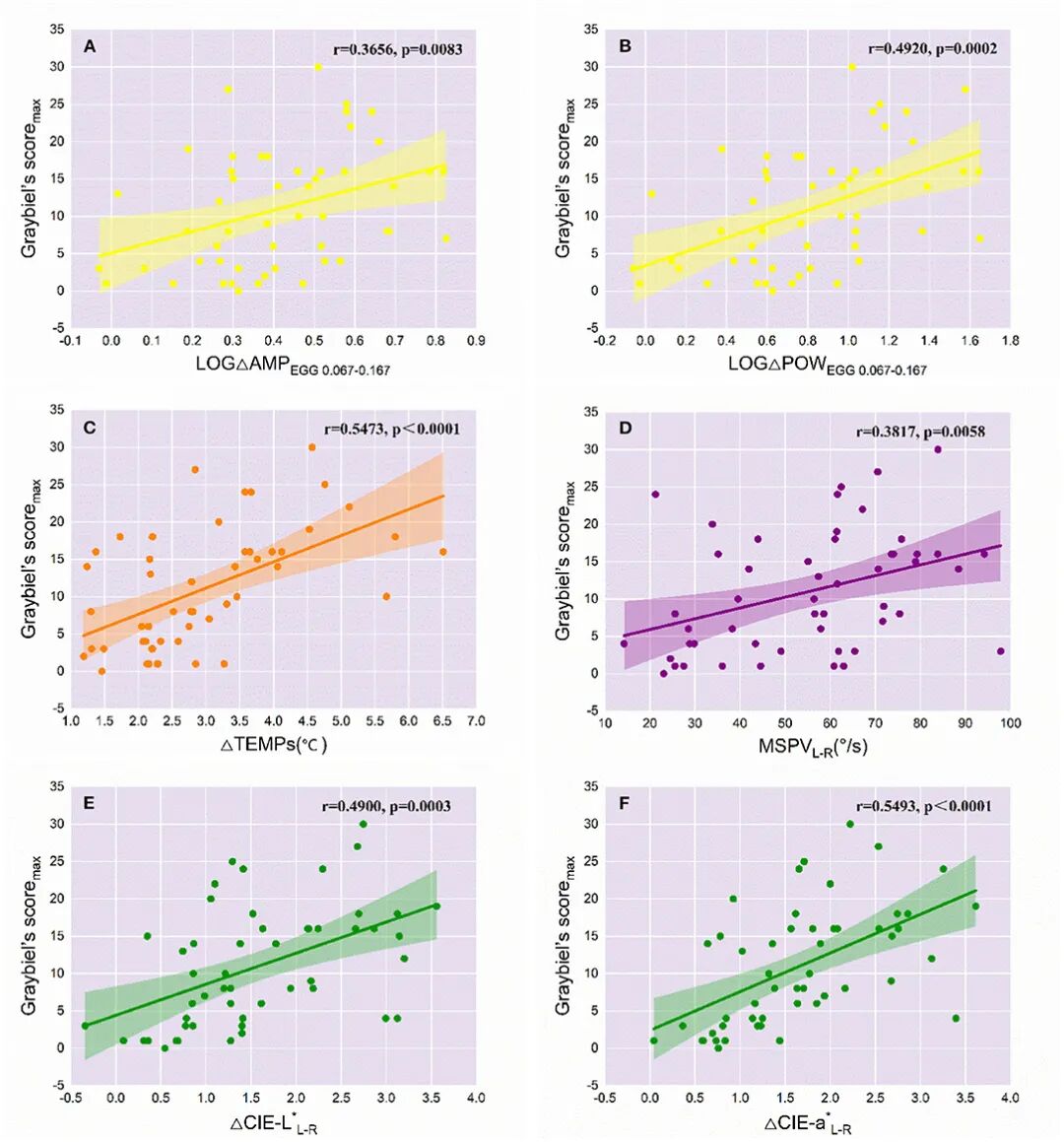
该研究创新性地利用TS7600分光测色仪,对受试者在科里奥利加速度刺激下面颊肤色进行系统测量。仪器基于CIE-L*a*b*色彩系统,将传统上依赖肉眼判断的“脸色发白”这一主观症状,转化为可精确量化的L值(明度)与a值(红绿度)。研究结果显示,晕动病发作时,L值显著上升、a值明显下降,这一客观变化与症状严重程度高度相关,为后续建模提供了关键数据基础。

高精度数据支撑机器学习模型构建
作为研究的核心测量设备,TS7600以其重复性精度ΔE≤0.03、台间差ΔE≤0.15的优异性能,确保了肤色数据的准确性与可比性。
该仪器所获数据与胃电活动、皮肤温度、眼震等其他生理参数共同输入机器学习算法,最终构建出晕动病易感性评估模型,其中支持向量机模型分类准确率高达88.24%,展现出良好的应用效能。

便携化设计拓展现场筛查潜力
TS7600的便携特性为其在真实场景下的应用提供可能。研究指出,该设备可灵活部署于驾驶舱、船舱等实际环境,实现晕动病的现场快速筛查。这一能力对飞行员、宇航员、驾驶员等高风险职业人员的选拔与健康监测具有重要价值,也为推动晕动病评估标准化与精准化奠定基础。

技术跨界融合,推动科研与产业协同发展
该研究不仅是晕动病评估方法的重要突破,也是工业检测设备与医学研究跨领域融合的成功范例。三恩时TS7600通过提供可靠、高效的肤色量化方案,助力研究人员构建起更为客观、多维的评估体系,为相关疾病的预防、诊断与人员选拔提供新思路。
我们诚挚感谢第四军事医科大学与延安大学研究团队的信任与合作,三恩时将持续致力于高性能检测设备的研发与优化,为更多领域的科研创新与技术进步提供支撑。
同类文章排行
- 三恩时新品首发:YL72非接触式分光测色仪,您的专属在线测色专家
- 元旦快乐 | 温情相伴,幸福可测——三恩时与您共赴2026
- 三恩时PS420分光色差仪全新登场,精准适配多行业复杂场景
- 重磅上市 | 三恩时KS-500:6种口径覆盖全域样品,解锁复杂工业场景测量难题
- 喜讯!广东三恩时再获国际质量体系认证ISO 9001认证
- 技术驱动色彩革新:三恩时以精准测量解决方案闪耀CHINACOAT 2025收官日
- 科学揭秘养殖鲤鱼肉质差距!三恩时助力河南师大解锁黄河鲤品质密码
- 预见色彩未来!三恩时邀您莅临CHINACOAT 2025,体验测色配色尖端科技
- 三恩时助力北京科技大学在国际知名期刊《Ceramics International》发表研究成果
- CIOE光博会首日,三恩时展台影像测试解决方案咨询火热
最新资讯文章
- 色差仪SCE与SCI是什么意思?有什么区别?
- 三恩时新品首发:YL72非接触式分光测色仪,您的专属在线测色专家
- 甘茨白度:解读国际通用的白度测量标准
- 什么是产业用纺织品?产业用纺织品的色差标准是多少?
- 光学玻璃眼镜片毛坯的透过率是多少?——GB/T 14148-2011
- 什么是色料减色法?色料减色法和原理和应用
- 反射率和透过率有什么区别?
- 光泽度的单位是百分比%吗?什么是光泽度百分比?
- 元旦快乐 | 温情相伴,幸福可测——三恩时与您共赴2026
- 什么是光源的相对光谱功率分布?
- 色调值(网点面积)测量的方法和步骤
- 什么是发光强度?常见光源的发光强度?
- 菜籽油颜色标准与测量方法详解
- 光泽度单位是GU吗?数值范围是多少?


